Belden ICONOCLAST Interconnects and Speaker Cabling

I did indeed mention my cables some time ago as they seemed to reduce external noise. If noise is reduced from the signal path or power, by whatever means, the result seems to be increased clarity. I don’t go for all the BS about better soundstage, bass, blah blah blah, just less noise = better sound.

In the context of the discussion of the Belden cables, the only relevance of the cables I use to the discussion is the geometry of the cables. The brand - Goertz or Townshend - is irrelevant. There is so much science written about cables, the truth or relevance of which it is impossible for most people to judge, what is perhaps useful is when different manufacturers use similar geometries and get similarly good results, or completely different geometries for different reasons but also equally effective. The relative price is also of interest.

In this case, the Iconoclast are designed for low capacitance, as well as inductance and resistance, whereas Belden accept that high capacitance is only an issue because of some, but not all, amplifiers. So they keep capacitance low, whereas Goertz and Townshend manage it with a network.

Less noise equal better sound? Certainly, but only if you even HAVE that condition, and it is significant. For low impedance audio speaker cable it is FUD.

Doubters? Put 1313A or the like in a piece of iron conduit that shield EMI/RFI and low frequency magnetic, both. Did it make a difference in how the cable measures or sounds?

Shields make cable WORSE, not better, as the ground reference is far less stable, influencing every aspect of how consistent a cable is per unit length. The ONLY reason to use a shield is if the NOISE is so much worse an issue than the negatives on the cable electricals.

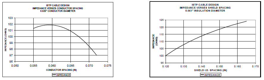
Look at the graphs of what C-C and shield spacing(s) do to electricals. Shield spacing is BY FAR worse than C-C in upsetting electricals! So why use a shield if you don’t have to? It screws up the transmission line and that’s something you need to wrestle with. I DO NOT use guesses where data can define the proper course of action.

Wear a bullet proof vest only if there are bullets flying around, even if it might make you hot or may slow you down. Most pretend that there are interference that equates to a bullet. For low impedance audio this is VERY, VERY seldom the case.

If it is, use METAL flexible conduit and stick your cables (as cheap as you can find, I suppose) and go from there.

Few manufacturers of cable publish what their cables even remotely do, as false innuendo seems to work far better in this community with cables. Why? No clue. Data that is provided is words, not actual measurements, and is WRONG 99% of the time. Cable is not, nor will it ever be, 8-ohms as an example. ANY accurate measurement will show this to be the case.

And correct, I don’t make inductors or capacitors, I make cable. I have to report what cable really does, even if you don’t like it. I don’t like how cable works either, so attempts have been made to improve the situation where we can.

Galen Gareis

2 Likes

Who mentioned shielding? The cables I use don’t have shielding, they just have an external braid for physical protection as they are thin and flat and easy to crease. Their interconnects are also unshielded.

I used a Nordost cable for years that was flat with no shielding and when I used a valve amplifier I used an unshielded solid core cable.

In my office I use unshielded solid core http://www.dnm.co.uk/cables.html

I have just bought a shielded cable - SWA (steel wire armoured) for my new electric car charger to protect it from being chewed through by foxes. It’s quite expensive, 6mm 3-core with 3 layers including one of steel mesh, costs $4/m.

YIKES on the foxes!

And my interpretation is you mentioned shielding…sorry.

“I did indeed mention my cables some time ago as they seemed to reduce external noise. If noise is reduced from the signal path or power, by whatever means, the result seems to be increased clarity.”

To me this includes shielding or passive RF pass band filters that are usually made by accident and touted as a shield. ICONOCLAST has passive RF cancellation based on magnetic field cancellation due to the wire orientation. This is not at all a true capacitive RF shield. I have no use for “seems to” stuff if there is real data on a parameter that can be defined in design and character, and both are clearly what we want to establish.

I can design better current coherence with calculation and duplicate it every time. We can not yet define the character of this change that influences audio. We have half a problem solved. For noise, “seemed to reduce noise” is neither solved. How to duplicate a design / measurement is the minimum for any chance that it may be audible.

Cables with pass band filters for RF aren’t shielded. The “gap” in the metallic components determine at what point frequencies pass, and what doesn’t. The FUD that what does pass is irrelevant and what doesn’t is harmful is dubious at best. LEAKY coaxial cables are an example of a system that leverages this to communicate specific frequencies, and keep the rest out. The “shield” isn’t a shield, but a frequency filter.

Reducing noise through passive RF cancellation is indeed frequency related, but it DOES NOT really address wide band RF shielding.

We need to be much more demanding on the kind of data, and how it works in at least measurement, before we accept the tech. Stuff is expensive and I don’t take too kindly to stuff I have to take on faith with no real measurements supporting any of it.

It has to measure different to stand any chance to sound different.

Galen

So which model of the ICONOCLAST cables did you try?

@Gary_M - OCC for XLR (pre & DSD) and SPTPC for speaker.

Steven, I know you just pointed this site out, this has nothing to do with finding fault with you, it is finding fault with what is provided to you, the customer. The level of data is what most of you have to go on buying a cable. This is wrong.

I’ll leave it to readers to review what the site provides and if it has any truly verifiable information. It is up to the manufacturer’s to be transparent when demonstrating HOW a cables works with test data.The version with aluminum sheath COMPLETELY changes the cable! And yes, this is what SHIELDS do, change the cable’s parameters significantly.

Vp at the low end is controlled by;

Vp= SQRT[2 X OMEGA/ (RC)], where OMEGA is 2 x pie x f.
or…
Zo=101670 / C X Vp can be used, and solve for Vp, if you know the impedance at each frequency.

Adding a shield changes C, and thus at every frequency Vp changes, too. Worse, C is not influenced uniformly down the cable since the shield geometry relative to the core wires is hard to make 100% consistent along a less than uniform structure. I already showed this with actual charts above. Shields are used ONLY under extreme circumstances of S/N ratios. Most Heavy Industries use UTP Ethernet as an example for it’s superior Shannon’s law bandwidth. Shields knock about 6 dB of NEXT out of the cable all things the same, and the NEXT loss better be less than the S/N that a shield works against or it is not a fair trade. Shielded cables have to be far more perfect to collect back what is lost using a shield.

As time goes on, more and more of you will begin to see that a WHOLE LOT of this is not undefined. Yes, we have a few areas, material structure, current coherence as examples. This does not allow a free-for-all in designing cables! Every single KNOWN parameter can be calculated, measured, and compared to best practice, always.

The advertisements for most cables could be IDENTICAL and just substitute a different picture (I have a hard time saying it is a DESIGN with virtually zero evidence of how it works). All the same magic words and phrases apply.

Sorry, I don’t get it. I didn’t get it 4 years ago and less so today. This is why ICONOCLAST provides heaps of data on EVERY design to show exactly how R, L and C are reached. The unknowns REMAIN unknown and I’ll tell you that. I won’t replace unknowns with, “this seems wrong but it works”. I’d rather see, “the numbers are right, but can you that that?”

Some sites can’t even tell you why one big wire works OK for treble! As frequency goes up, you want MORE surface area and big wire provides that. How hard is this to say? Several smaller wires of the same total CMA area can have MORE surface area, but present a tremendous design challenge to manage R, L and C. The complexity is worth it if you can actually DESIGN a cable. This is what design is all about with cars, washing machines, airplanes you name it. A BALANCE of multivariant variables.

Until known calculations and measurements are used evaluate HOW to best balance audio, we will never get to a truly optimized design. I refuse to put a full page ad in front of you, ask you for your money, and provide not a single spec other than something like, “it is wrong but it works”. THAT is a specification? Can you make an amplifier WRONG on purpose and somehow sell it? I just told you something is WRONG and if it is a cable this is good? Why the hell have I been working so hard?

If it WORKS it can be fully supported as to WHY it is working with the calculations and measurements used to define the DESIGN. Exactly WHY is this design a good balance of R, L and C and tertiary parameters?

I’d rather be a total fool in making an error after peer review and making corrections towards total transparency than to market what passes for data and design proofs elsewhere. I can take ANY design and calculate and measure HOW it fundamentally works, so can they. They won’t, because it will show how the design fails to fully balance what you’re paying for. Most have no clue what the cable even does to accepted standards.

My peer review papers are there to PROOF and find errors in calculation or measurement to further move to FACTUAL variables that can be reproduced. Every cable is looked at this way. Every DEFICIENCY is pointed out as ALL passive cables have them. This is NOT the “problem” per say but the trade-offs needed to mitigate the problems is the problem. What’s the best COMPROMISE and how was it reached?

Maybe when vendors that do have well DESIGNED cables (they should know how they work) show with full disclosure the trade-offs to mitigate cable non linearity we will begin to get somewhere. Cable data can be used to isolate particular sonic merits much like loudspeakers. As it is now, with virtually NOTHING but well wishing words, well…nothing will improve.

Cable, like speakers, can FULLY disclose HOW the designs work and where they don’t. Like a speaker, there is nothing wrong with this approach. Compare each cable to a full set of agreed upon measurements and we can decide what optimizations work for us. Cables that are way off the mark on reaching best in class metrics across several standards can’t possibly sound better. We all know horns, ports, air suspension, dynamic electrostatic are all different and measurably so. We pick what deficiencies effect use the least. You can’t do this with a cable…yet.

Someone has to honestly provide real data to start this line of thinking. There are measures that show merit AND additional deficiencies that I don’t have yet. This is where peer review and a standardized set of ongoing tests provide; improvements in understanding what EVERY cable is doing.

Galen

2 Likes

They must be considerably better than the OFE XLR’s if they beat out your Nordost cables. I tried the OFE XLR’S, giving them a full month of break- in. I thought they were good, but not much better than my inexpensive Supra ic’s.

1 Like

Interesting. I have found that, by and large, that I prefer the Iconoclast line to any but the Odin, which I find pleasing but just “a little” expensive. Just my preference, though.

So I’m wondering if I didn’t break them in sufficiently? I had them connected to my DSD dac playing nonstop, but with the amp turned off, until it was time to listen. Could it be that they require a load at the amp end to properly break in?

I evaluated the speaker cables first but found the interconnect along with the speaker cables made much more of a different than either alone with other cables. A real synergy for me in my system.

I recently decided a new pair of speakers and am having the thought of bi-wiring them with another set of Iconos or perhaps some jumpers made of the same.

Galen doesn’t seem to think burn-in makes a difference. But I noticed a substantial difference for the (OFE) IC’s after about 40 hours. SPTPC speaker cables sounded incredible right out of the box but also improved with time, but not to the extent of the IC’s.
But even right out of the box, if the improvement for you wasn’t substantial, you saved yourself some money!

That was my experience too, ICs changed some for the better but not dramatically, both were a clear and immediate improvement for me. My wife asked what I had changed and while she enjoys music she doesn’t listen critically, ever. She noticed.

Well yes and no. I didn’t end up buying the OFE, but I’m still looking for an ic that substantially surpasses my current Supra EFF-1. The Transparent Ultra did, but I invested the 3K those cost, into a new BHK preamp, which made an even bigger difference. Currently breaking in a pair of Audio Sensibility Statement SE XLR Interconnects which are showing great promise, and are sensibly priced.

@Gary_M - Nordost Valhalla 2 for PRE & DSD & Tyr2 speaker. They beat the Tyr2 straight up; however, when I changed the OCC for the V2… WOW, that is when the money SQ happened for me. I was burning in my BHK300s (new PCC88 tubes) so I changed them initially and the second I swapped the speakers better and the second I swapped the XLRs noticeable. It only got better. After 500 hrs amazing (mostly BHK300s). I then changed the BHKPRE, DSD, and DMP fuses to BLUE… better. Changed the cables to SR Alpha NRs, better, just changed the BHK300 fuses (BLUE) along with (4) Sbooster fuses (HiFi Tuning Supreme) and yesterday was special… BHK300s are sounding amazing… so, lot going on… I would defer to my above audiophile friends… more than me… I just know when I changed the OCC it was like OMG, this is what a real sound stage sounds like… I now listen to my DMP 40% of the time and a month ago, it was a relic so to speak… once a week for a CD. I just bought 120CDs (regular) over the last few weeks and man does it sound amazing with just regular CDs. Out of all these changes, the Iconoclast cabling is responsible for the biggest OMG… all I want to do is listen to my stereo, it is obsessive… I can’t get enough time sitting in my music room and my wife is starting to wonder… I have just lost a lot of money in cabling, that is how sure I am they are amazing… it would have cost me $20 to send them back to Bob and say… hey not for me… and Bob/Galen would have been OK with that… they would have asked why and I would have given them details, I would owe them that… They just worked well in my system and I have over 500 hrs on them both right now. They got better because of the changes in the BHK, power cables, and fuses; however, the initial sound stage change never has gotten less. In addition, I did not hear anything harsh… IDK, I can just tell you what they sound like in my system. I believe I went into some detail above. However, my friends have not went through as many changes in their system so…

2 Likes

@wglenn - it was not… yeah they sound a little better… you could argue; however, mine is as good… NOT AS GOOD! from the jump… now, I don’t have the 20years audiophile experience with many different cables and systems you have. I just have a pair of new ears that went holy shit… where is the Nordost rep so I can slap him with my Nordost cables… I’m going to lose a new DSD MSRP loss… kind of WOW…

1 Like

Bloody hell, people are quoting formulae at me thinking I’ll understand them. They might as well be in Greek, and they probably are.

People seem to use all sorts of scientific stuff to sell cables and I have no idea of sorting it between good, bad and irrelevant. It is interesting (vaguely) to identify what the designs have in common and how the explanations are similar and how they differ. For my speaker cables I went on a rock solid recommendation, listening and the fact that the product has been a good seller for 40 years.

As to my recently acquired power cables, I just listened. I’ve not read anything about them at all. I didn’t even look at the manufacturer website before I bought them.

I have no interconnects, thank heavens, other than cheap or free ethernet and fibre optic cables. My two tonearms came with cables. I have a Chord usb (used only for recording vinyl) that was a freebie attached to the front of a magazine.

2 Likes

I hear you. Formulas don’t impress me, mostly because I can’t hear them, never mind I’m not an electrical engineer.

1 Like

Funny that, I can’t hear sine waves, but I can tell a violin from a piano.

From time to time I give technical evidence in the courts, and the one thing I learned years ago was never get technical with a judge. The art is explaining complex things in a way that ordinary people (i.e. the judge) can understand. Get technical and their eyes glaze over or they fall asleep. I have that reaction to most audio techno-stuff.

3 Likes

The chief of cardiothoracic anesthesia was a Scot raised in England. You knew that you were in trouble when he would bellow, “Bloody Hell, boy!” followed by some missive. Big, robust fellow and he used to call the chief of cardiothoracic surgery “Wanker” to his face. Things are a little tamer in the OR these days. :laughing:
Galen is all engineer and he sticks to that in public. He has one of the best pair of ears that I know of and can describe the sound of things quite well but his life has been engineering cables and he sticks to tech for his public dialogue. For a bear of very little brain like myself, I just try to hang on when the numbers and formulas start flying. :blush:

3 Likes